Zapytaj lub negocjuj cenę
KONWERTER OPTICUM ROBUST UNICABLE SCR 24UB 2 LEGACY - 26 ODBIORNIKÓW
Konwerter do odbioru z jednego satelity na maximum 26 tunerów satelitarnych - niezależny odbiór dla 24 odbiornikach z Unicable oraz 2 tradycyjnych.
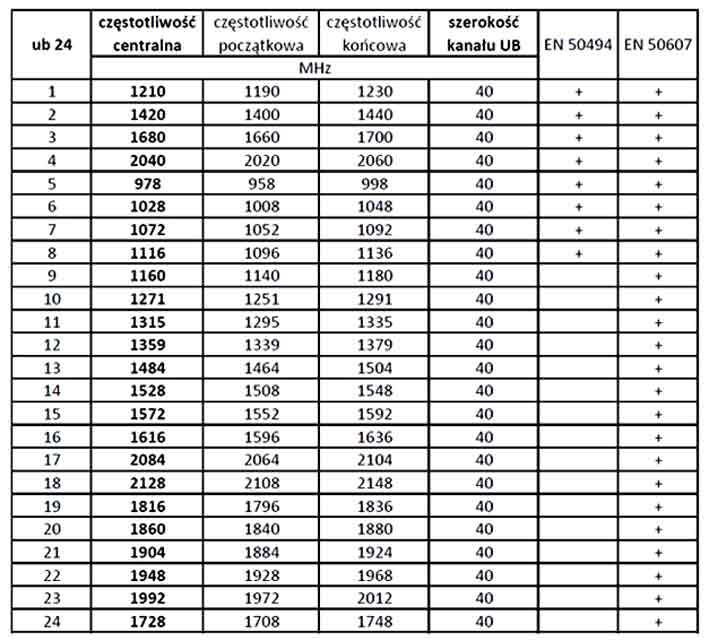
Warunkiem pracy tunerów w funkcji Unicable jest jej posiadanie i korzystanie z transmisji sygnału w 24 częstotliwościach:
Wyjście Unicable (SCR) w kolorze złotym pozwala podpiąć 24 odbiorników.
Trzy wyjścia w kolorze srebrnym pozwala podpiąć 2 odbiorniki w sposób tradycyjny.
Parametry techniczne:
- wyjście Unicable (SCR) w kolorze złotym - 24 tunery
- trzy wyjścia niezależne typu uniwersal w kolorze srebrnym - 2 tunery
- średnica zewnętrzna mocowania 40 mm
- pasmo odbioru 10.7 - 12.75GHz :
pasmo dolne: 10.7 - 11.7 GHz
pasmo górne: 11.7 - 12.75 GHz
- częstotliwość oscylatora:
LOW - 9.75 GHz
HIGH - 10.6 GHz
- współczynnik szumów 0.1dB
- wzmocnienie 57dB
- pobór prądu - 300mA
- sygnał przełączający pasma - 22 kHz
- temperatura pracy: -40 C +65 C
- wysuwana osłona wtyków F

© BO-SAT. Wszelkie Prawa Zastrzeżone. All Rights Reserved.